Flares

Introduction

The FLARE simulations are a suite of high-resolution, hydrodynamic simulations of galaxy formation and evolution using the EAGLE physics. The suite consists of a series of 40 'zoom' resimulations selected at $z = 5$ from a $(3.2 \, \mathrm{Gpc})^3$ parent dark matter-only volume. We select a range of overdensities in order to study the environmental effect on high-redshift galaxy evolution. We also combine these resimulations in order to produce composite distribution functions, signficantly extending the dynamic range of the model over smaller volume, periodic simulations.

These simulations provide a valuable resource for studying galaxy evolution over the first 2 billion years of the Universe's evolution, including the important reionisation era, and for making predictions for upcoming observatories, such as JWST, Roman and Euclid.

If you would like further scientific information please refer to the publications. For all other queries you can contact us directly. We welcome collaboration - get in touch if you are interested!

Publications

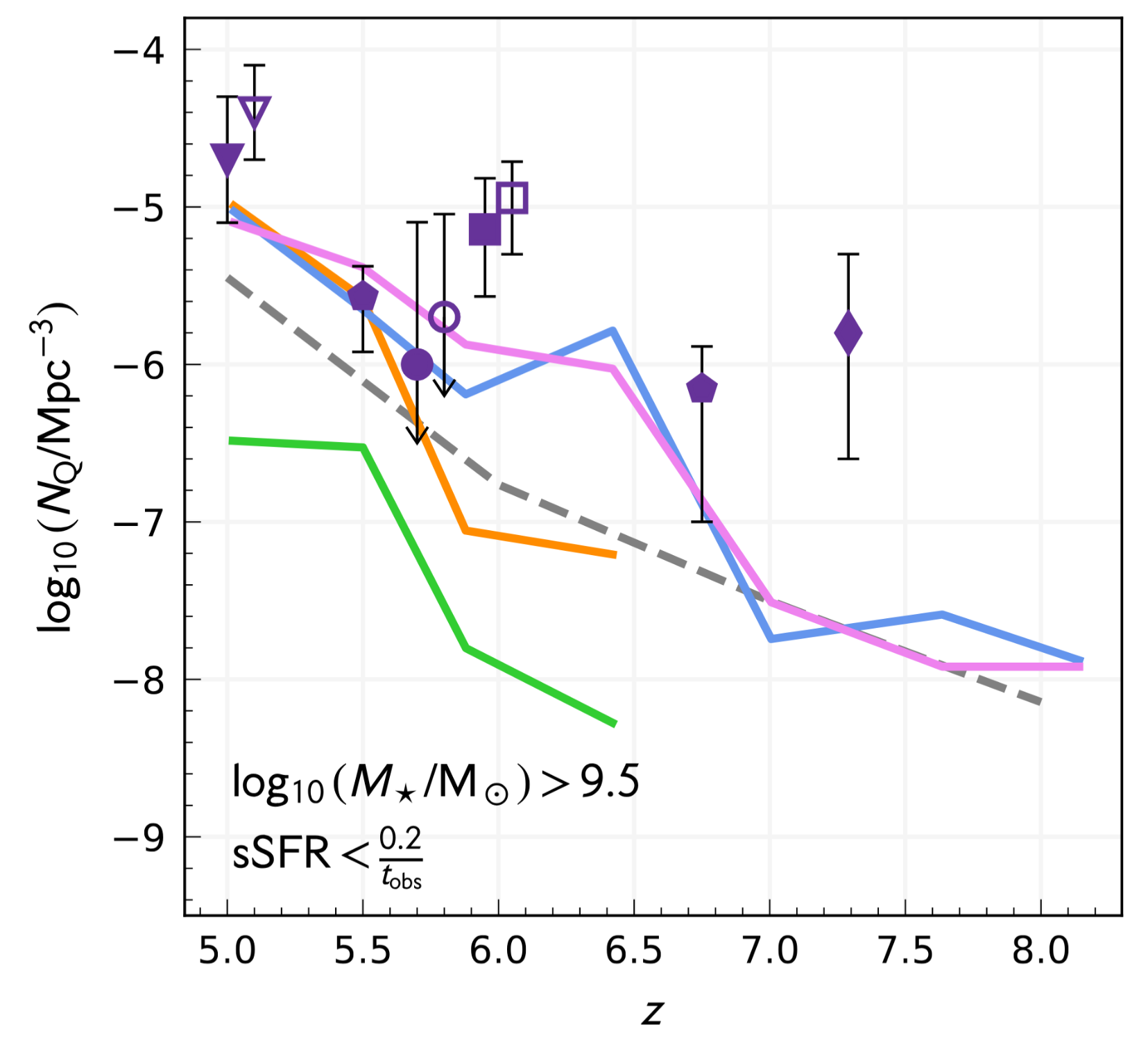
First Light And Reionisation Epoch Simulations (FLARES) XX: Comparing semi-analytic models at high-redshift
arXiv:2511.11982

Louise T. C. Seeyave, Carlton M. Baugh, Ángel Chandro-Gómez, Claudia del P. Lagos, Robert M. Yates, L. Y. Aaron Yung, Rachel S. Somerville, Stephen M. Wilkins, Christopher C. Lovell, William J. Roper, Aswin P. Vijayan, Cedric G. Lacey, Chris Power, Shihong Liao, Maxwell G. A. Maltz, Jack C. Turner

Abstract: We explore how the choice of galaxy formation model affects the predicted properties of high-redshift galaxies. Using the Flares zoom resimulation strategy, we compare the Eagle hydrodynamics model and the Galform, L-Galaxies, SC-SAM and Shark semi-analytic models (SAMs) at $5 \leqslant z \leqslant 12$. The first part of our analysis examines the stellar mass functions, stellar-to-halo mass relations, star formation rates, and supermassive black hole (SMBH) properties predicted by the different models. Comparisons are made with observations, where relevant. We find general agreement between the range of predicted and observed stellar mass functions. The model predictions differ considerably when it comes to SMBH properties, with Galform and Shark predicting between 1.5 − 3 dex more massive SMBHs ($M_{\rm BH} > 10^6 \, M_⊙$) than L-Galaxies and SC-SAM, depending on redshift. The second half of our analysis focuses on passive galaxies. We show that in L-Galaxies and SC-SAM, environmental quenching of satellites is the prevalent quenching mechanism, with active galactic nuclei (AGN) feedback having little effect at the redshifts probed. On the other hand, $\sim40$% of passive galaxies predicted by Galform and Shark are quenched by AGN feedback at $z = 5$. The SAMs are an interesting contrast to the Eagle model, in which AGN feedback is essential for the formation of passive galaxies, in both satellites and centrals, even at high redshift.

Redshift evolution of the passive number density in different semi-analytic models run on the FLARES-DMO suite.

The Nature of High-Redshift Massive Quiescent Galaxies - Searching for RUBIES-UDS-QG-z7 in FLARES
arXiv:2509.16111

Jack C. Turner, Will J. Roper, Aswin P. Vijayan, Sophie L. Newman, Stephen M. Wilkins, Christopher C. Lovell, Shihong Liao, Louise T. C. Seeyave

Abstract: RUBIES-UDS-QG-z7 (RQG) is the earliest massive quiescent galaxy identified to date, inferred to have formed its abundant stellar mass in a single burst that ceases rapidly before $z \sim 8$. An object of such extreme nature challenges our understanding of galaxy formation, requiring rapid growth and quenching mechanisms only 0.6 Gyr after the Big Bang and implying number densities 2 dex higher than currently predicted by simulations. We use synthetic observables to identify analogous systems within the First Light And Reionisation Epoch Simulations (FLARES) and find two massive galaxies dominated by rapidly quenched bursts. Beyond demonstrating that the current FLARES model is capable of producing RQG-like systems, these analogues provide a laboratory within which to study the underlying physics. Their active galactic nuclei (AGN) heat and expel gas, inducing rapid quenching and preventing timely rejuvenation. This causes above-average chemical enrichment at a given stellar mass, with super solar levels predicted for RQG. These metallicities are underestimated by spectral energy distribution fitting and we show that $\alpha$-enhancement cannot be solely responsible. Degeneracies with age and dust attenuation appear the more likely causes. Tensions between observed and simulated number densities can be alleviated in part by considering systematics, but adjustments to AGN feedback, such as allowing super-Eddington accretion rates, may be required for full agreement.

Redshift evolution of the gas fraction in RQG analogues.

FLARES XIX: Supermassive black hole mergers in the early Universe and their environmental dependence
arXiv:2505.12591

Shihong Liao, Dimitrios Irodotou, Maxwell G. A. Maltz, Christopher C. Lovell, Zhen Jiang, Sophie L. Newman, Aswin P. Vijayan, Paurush Punyasheel, William J. Roper, Louise T. C. Seeyave, Sonja Soininen, Peter A. Thomas, Stephen M. Wilkins

Abstract: The upcoming space-based gravitational wave (GW) observatory, LISA, is expected to detect GW signals from supermassive black hole (SMBH) mergers occurring at high redshifts. However, understanding the origin and growth of SMBHs in the early Universe remains an open problem in astrophysics. In this work, we utilize the First Light And Reionization Epoch Simulations (FLARES), a suite of cosmological hydrodynamical zoom-in simulations, to study SMBH mergers at $5 \lesssim z \lesssim 10$ across a wide range of environments. Most mergers in FLARES involve secondary SMBHs near the seed mass ($m_{seed} \approx 1.5 \times 10^{5} M_{\odot}$) while primary SMBHs span up to $10^{9} M_{\odot}$, resulting in mass ratios from $q \sim 10^{-4}$ to $1$, with a peak at $q \sim 1$. The number of mergers increases rapidly towards lower redshifts, and the comoving total number density scales with overdensity as $n_{merger} = 10^{-3.80} (1 + \delta)^{4.56}$. Denser regions host more massive mergers, with higher merger redshifts and lower mass ratios. Within the FLARES redshift range, LISA is expected to detect mergers with $10^{5} \lesssim M_{tot} / M_{\odot} \lesssim 10^{8}$ and $q \gtrsim 10^{-2}$, corresponding to a detection rate of $0.030 yr^{-1}$ for events with signal-to-noise ratio $SNR \geq 10$. Our study demonstrates the sensitivity of GW predictions at high redshifts to SMBH seed models and merger time delays, highlighting the need for improved modeling in future cosmological simulations to maximize LISA’s scientific return.

Environmental dependence of SMBH merger number density and LISA detection rates

FLARES XVIII: The ionising emissivities and hydrogen recombination line properties of early AGN
arXiv:2505.05257

Stephen M. Wilkins, Aswin P. Vijayan, Scott Hagen, Joseph Caruana, Christopher J. Conselice, Chris Done, Michaela Hirschmann, Dimitrios Irodotou, Christopher C. Lovell, Jorryt Matthee, Adèle Plat, William J. Roper, Anthony J. Taylor

Abstract: One of the most remarkable results from the James Webb Space Telescope has been the discovery of a large population of compact sources exhibiting strong broad Hα emission, typically interpreted to be low-luminosity broad-line (Type 1) active galactic nuclei (BLAGN). An important question is whether these observations are in tension with galaxy formation models, and if so how? While comparisons have been made using physical properties (i.e. black hole mass and accretion rate) inferred from observations, these require the use of SED modelling assumptions, or locally inferred scaling relations, which may be unjustified, at least in the distant high-redshift Universe. In this work we take an alternative approach and forward model predictions from the First Light And Reionisation Epoch Simulations (FLARES) suite of cosmological hydrodynamical zoom simulations to predict the observable properties of BLAGN. We achieve this by first coupling FLARES with the qsosed model to predict the ionising photon luminosities of high-redshift (z>5) AGN. To model the observed broad Hα emission we then assume a constant conversion factor and covering fraction, and the fraction of AGN that have observable broad-lines. With a reasonable choice of these parameters, FLARES is able to reproduce observational constraints on the Hα luminosity function and equivalent width distribution at z=5.

The predicted AGN Hα luminosity function at z=5

FLARES XVII: Learning the galaxy-halo connection at high redshifts
arXiv:2410.24082

Maxwell G. A. Maltz, Peter A. Thomas, Christoper C. Lovell, William J. Roper, Aswin P. Vijayan, Dimitrios Irodotou, Shihong Liao, Louise T. C. Seeyave, Stephen M. Wilkins

Abstract: Understanding the galaxy-halo relationship is not only key for elucidating the interplay between baryonic and dark matter, it is essential for creating large mock galaxy catalogues from N-body simulations. High-resolution hydrodynamical simulations are limited to small volumes by their large computational demands, hindering their use for comparisons with wide-field observational surveys. We overcome this limitation by using the First Light and Reionisation Epoch Simulations (FLARES), a suite of high-resolution (M_gas = 1.8 x 10^6 M_Sun) zoom simulations drawn from a large, (3.2 cGpc)^3 box. We use an extremely randomised trees machine learning approach to model the relationship between galaxies and their subhaloes in a wide range of environments. This allows us to build mock catalogues with dynamic ranges that surpass those obtainable through periodic simulations. The low cost of the zoom simulations facilitates multiple runs of the same regions, differing only in the random number seed of the subgrid models; changing this seed introduces a butterfly effect, leading to random differences in the properties of matching galaxies. This randomness cannot be learnt by a deterministic machine learning model, but by sampling the noise and adding it post-facto to our predictions, we are able to recover the distributions of the galaxy properties we predict (stellar mass, star formation rate, metallicity, and size) remarkably well. We also explore the resolution-dependence of our models' performances and find minimal depreciation down to particle resolutions of order M_DM ~ 10^8 M_Sun, enabling the future application of our models to large dark matter-only boxes.

Differences in galaxy properties due to changing the subgrid random number seed

FLARES XVI: Size Evolution of Massive Dusty Galaxies at Cosmic Dawn from UV to IR
arXiv:2408.11037

Paurush Punyasheel, Aswin P. Vijayan, Thomas R. Greve, William J. Roper, Hiddo Algera, Steven Gillman, Bitten Gullberg, Dimitrios Irodotou, Christopher C. Lovell, Louise T. C. Seeyave, Peter A. Thomas, and Stephen M. Wilkins

Abstract: We use the First Light And Reionisation Epoch Simulations (FLARES) to study the evolution of the rest-frame ultraviolet (UV) and far-infrared (FIR) sizes for a statistical sample of massive (≳ 10^9M⊙) high redshift galaxies (z ∈ [5, 10]). Galaxies are post-processed using the skirt radiative transfer code, to self-consistently obtain the full spectral energy distribution and surface brightness distribution. We create mock observations of the galaxies for the Near Infrared Camera (NIRCam) to study the rest-frame UV (1500 Å) morphology. We also generate mock rest-frame FIR (50 μm) photometry and mock ALMA 158 μm (0.01′′ − 0.03′′ and ≈0.3′′ angular resolution) observations to study the dust-continuum sizes. We find the effect of dust on observed sizes reduces with increasing wavelength fromthe UV to optical (∼ 0.6 times the UV at 0.4μm), with no evolution in FIR sizes. Observed sizes vary within 0.4−1.2 times the intrinsicsizes at different signal to noise ratios (SNR = 5-20) across redshifts. The effect of PSF and noise makes bright structures prominent, whereas fainter regions blend with noise, leading to an underestimation (factor of 0.4 − 0.8) of sizes at SNR=5. At SNR=15-20, the underestimation reduces (factor of 0.6 − 0.9) at z = 5 − 8 but due to PSF, at z = 9 − 10, bright cores are dominant, resulting inan overestimation (factor of 1.0-1.2) of sizes. For ALMA, low (≈0.3′′) resolution sizes are effected by noise which acts as extended emission. The size evolution in UV broadly agrees with current observational samples and other simulations. This work is one of the first to analyse the panchromatic sizes of a statistically significant sample of simulated high-redshift galaxies, complementing agrowing body of research highlighting the importance of conducting an equivalent comparison between observed galaxies and their simulated counterparts in the early Universe.

Observed vs Intrinsic Size Ratio

FLARES XV: The physical properties of super-massive black holes and their impact on galaxies in the early universe
arXiv:2404.02815

Stephen M. Wilkins, Jussi K. Kuusisto, Dimitrios Irodotou, Shihong Liao, Christopher C. Lovell, Sonja Soininen, Sabrina C. Berger, Sophie L. Newman, William J. Roper, Louise T. C. Seeyave, Peter A. Thomas, Aswin P. Vijayan

Abstract: Understanding the co-evolution of super-massive black holes (SMBHs) and their host galaxies remains a key challenge of extragalactic astrophysics, particularly the earliest stages at high-redshift. However, studying SMBHs at high-redshift with cosmological simulations, is challenging due to the large volumes and high-resolution required. Through its innovative simulation strategy, the First Light And Reionisation Epoch Simulations (FLARES) suite of cosmological hydrodynamical zoom simulations allows us to simulate a much wider range of environments which contain SMBHs with masses extending to M∙>10^9 M⊙ at z=5. In this paper, we use FLARES to study the physical properties of SMBHs and their hosts in the early Universe (5<z<10). FLARES predicts a sharply declining density with increasing redshift, decreasing by a factor of 100 over the range z=5→10. Comparison between our predicted bolometric luminosity function and pre-JWST observations yield a good match. However, recent JWST observations appear to suggest a larger contribution of SMBHs than previously observed, or predicted by FLARES. Finally, by using a re-simulation with AGN feedback disabled, we explore the impact of AGN feedback on their host galaxies. This reveals that AGN feedback results in a reduction of star formation activity, even at z>5, but only in the most massive galaxies. A deeper analysis reveals that AGN are also the cause of suppressed star formation in passive galaxies but that the presence of an AGN doesn't necessarily result in the suppression of star formation.

Balmer break

FLARES XIV: The Balmer/4000 Å Breaks of Distant Galaxies
arXiv:2305.18175

Stephen M. Wilkins, Christopher C. Lovell, Dimitrios Irodotou, Aswin P. Vijayan, Anton Vikaeus, Erik Zackrisson, Joseph Caruana, Elizabeth R. Stanway, Christopher J. Conselice, Louise T. C. Seeyave, William J. Roper, Katherine Chworowsky, Steven L. Finkelstein

Abstract: With the successful launch and commissioning of JWST we are now able to routinely spectroscopically probe the rest-frame optical emission of galaxies at z>6 for the first time. Amongst the most useful spectral diagnostics used in the optical is the Balmer/4000 Å break; this is, in principle, a diagnostic of the mean ages of composite stellar populations. However, the Balmer break is also sensitive to the shape of the star formation history, the stellar (and gas) metallicity, the presence of nebular continuum emission, and dust attenuation. In this work we explore the origin of the Balmer/4000 Å break using the SYNTHESIZER synthetic observations package. We then make predictions of the Balmer/4000 Å break using the First Light and Reionisation Epoch Simulations (FLARES) at 5<z<10. We find that the average break strength weakly correlates with stellar mass and rest-frame far-UV luminosity, but that this is predominantly driven by dust attenuation. We also find that break strength provides a weak diagnostic of the age but performs better as a means to constrain star formation and stellar mass, alongside the UV and optical luminosity, respectively.

Balmer break

FLARES XIII: The Lyman-continuum emission of high-redshift galaxies
arXiv:2305.18174

Louise T. C. Seeyave, Stephen M. Wilkins, Jussi K. Kuusisto, Christopher C. Lovell, Dimitrios Irodotou, Charlotte Simmonds, Aswin P. Vijayan, Peter A. Thomas, William J. Roper, Conor M. Byrne, Gareth T. Jones, Jack C. Turner, Christopher J. Conselice

Abstract: The history of reionisation is highly dependent on the ionising properties of high-redshift galaxies. It is therefore important to have a solid understanding of how the ionising properties of galaxies are linked to physical and observable quantities. In this paper, we use the First Light and Reionisation Epoch Simulations (FLARES) to study the Lyman-continuum (LyC, i.e. hydrogen-ionising) emission of massive (M>108M) galaxies at redshifts z=5−10. We find that the specific ionising emissivity (i.e. intrinsic ionising emissivity per unit stellar mass) decreases as stellar mass increases, due to the combined effects of increasing age and metallicity. FLARES predicts a median ionising photon production efficiency (i.e. intrinsic ionising emissivity per unit intrinsic far-UV luminosity) of log10ion/erg−1Hz)=25.40+0.16−0.17, with values spanning the range log10ion/erg−1Hz)=25−25.75. This is within the range of many observational estimates, but below some of the extremes observed. We compare the production efficiency with observable properties, and find a weak negative correlation with the UV-continuum slope, and a positive correlation with the OIII equivalent width. We also consider the dust-attenuated production efficiency (i.e. intrinsic ionising emissivity per unit dust-attenuated far-UV luminosity), and find a median of log10ion/erg−1Hz)∼25.5. Within our sample of M>108M galaxies, it is the stellar populations in low mass galaxies that contribute the most to the total ionising emissivity. Active galactic nuclei (AGN) emission accounts for 10−20 % of the total emissivity at a given redshift, and extends the LyC luminosity function by ∼0.5 dex.

OII EWs

FLARES XII: The consequences of star-dust geometry on galaxies in the EoR
arXiv:2303.04177

Aswin P. Vijayan, Peter A. Thomas, Christopher C. Lovell, Stephen M. Wilkins, Thomas R. Greve, Dimitrios Irodotou, William J. Roper, Louise T. C. Seeyave

Abstract: Using the FLARES: First Light And Reionisation Epoch Simulations suite we explore the consequences of a realistic star-dust model on the observed properties of galaxies. We find that the attenuation in the UV declines rapidly from the galactic centre, and more luminous galaxies have extended star formation that suffers less obscuration than their fainter counterparts. This gives rise to a non-linear relationship between the observed UV luminosity and the UV attenuation, that produces a double power-law shape to the UV luminosity function of the FLARES galaxies. Spatially distinct stellar populations within galaxies experience a wide range of dust attenuation due to variations in the dust optical depth along the line of sight, ranging from fully obscured to unobscured. The overall attenuation curve of the whole galaxy is then a complex combination of those individual lines of sight. We explore the manifestation of this effect to study the reliability of line ratios, in particular the Balmer decrement and the BPT diagram. We find the Balmer decrement predicted Balmer line attenuation to be very different from those expected from commonly used attenuation curves from literature, and the observed BPT line ratios shifted from their intrinsic dust-free values. Finally, we explore the variation in observed properties with viewing angle, finding average differences of ~0.3 magnitudes in the UV attenuation.

OII EWs

FLARES XI. [OIII] emitting galaxies at 5>z>10 arXiv:2301.13038

Stephen M. Wilkins, Christopher C. Lovell, Aswin P. Vijayan, Dimitrios Irodotou, Nathan J. Adams, William J. Roper, Joseph Caruana, Jorryt Matthee, Louise T. C. Seeyave, Christopher J. Conselice, Pablo G. Pérez-González, Jack C. Turner, James M. S. Donnellan

Abstract: JWST has now made it possible to probe the rest-frame optical line emission of high-redshift galaxies extending to z~9, and potentially beyond. To aid in the interpretation of these emerging constraints, in this work we explore predictions for [OIII] emission in high-redshift galaxies using the First Light and Reionisation Epoch Simulations (FLARES). We produce predictions for the [OIII] luminosity function, its correlation with the UV luminosity, and the distribution of equivalent widths (EWs). We also explore how the [OIII] EW correlates with physical properties including specific star formation rate, metallicity, and dust attenuation. Our predictions are largely consistent with recent observational constraints on the luminosity function, average equivalent widths, and line ratios. However, they fail to reproduce the observed tail of high-EW sources and the number density of extreme line emitters. Possibilities to explain these discrepancies include an additional source of ionising photons and/or greater stochasticity in star formation in the model or photometric scatter and/or bias in the observations. With JWST now rapidly building larger samples and a wider range of emission lines the answer to this remaining discrepancy should be available imminently.

OII EWs

FLARES X. Environmental Galaxy Bias and Survey Variance at High Redshift arXiv:2301.09510

Peter A. Thomas, Christopher C. Lovell, Maxwell G. A. Maltz, Aswin P. Vijayan, Stephen M. Wilkins, Dimitrios Irodotou, William J. Roper, Louise T. C. Seeyave

Abstract: Upcoming deep galaxy surveys with JWST will probe galaxy evolution during the epoch of reionisation (EoR, 5≤z≤10) over relatively compact areas (e.g. ∼300 arcmin2 for the JADES GTO survey). It is therefore imperative that we understand the degree of survey variance, to evaluate how representative the galaxy populations in these studies will be. We use the First Light And Reionisation Epoch Simulations (FLARES) to measure the galaxy bias of various tracers over an unprecedentedly large range in overdensity for a hydrodynamic simulation, and use these relations to assess the impact of bias and clustering on survey variance in the EoR. Star formation is highly biased relative to the underlying dark matter distribution, with the mean ratio of the stellar to dark matter density varying by a factor of 100 between regions of low and high matter overdensity (smoothed on a scale of 14 h−1cMpc). This is reflected in the galaxy distribution &endash; the most massive galaxies are found solely in regions of high overdensity. As a consequence of the above, galaxies in the EoR are highly clustered, which can lead to large variance in survey number counts. For mean number counts N≲100 (1000), in a unit redshift slice of angular area 300 arcmin2 (1.4 deg2), the 2-sigma range in N is roughly a factor of four (two). We present relations between the expected variance and survey area for different survey geometries; these relations will be of use to observers wishing to understand the impact of survey variance on their results.

Variance in number counts versus survey area

FLARES IX. The Physical Mechanisms Driving Compact Galaxy Formation and Evolution (z>5) arXiv:2301.05228

William J. Roper, Christopher C. Lovell, Aswin P. Vijayan, Dimitrios Irodotou, Jussi K. Kuusisto, Jasleen Matharu, Louise T. C. Seeyave, Peter A. Thomas, Stephen M. Wilkins

Abstract: In the FLARES (First Light And Reionisation Epoch Simulations) suite of hydrodynamical simulations, we find the high redshift (z>5) intrinsic size-luminosity relation is, surprisingly, negatively sloped. However, after including the effects of dust attenuation we find a positively sloped UV observed size-luminosity relation in good agreement with other simulated and observational studies. In this work, we extend this analysis to probe the underlying physical mechanisms driving the formation and evolution of the compact galaxies driving the negative size-mass/size-luminosity relation. We find the majority of compact galaxies (R>1/2,⋆<1pkpc), which drive the negative slope of the size-mass relation, have transitioned from extended to compact sizes via efficient centralised cooling, resulting in high specific star formation rates in their cores. These compact stellar systems are enshrouded by non-star forming gas distributions as much as 100× larger than their stellar counterparts. By comparing with galaxies from the EAGLE simulation suite, we find that these extended gas distributions 'turn on' and begin to form stars between z=5 and z=0 leading to increasing sizes, and thus the evolution of the size-mass relation from a negative to a positive slope. This explicitly demonstrates the process of inside-out galaxy formation in which compact bulges form earlier than the surrounding discs.

flares size-mass relation at z=5

FLARES VIII. The Emergence of Passive Galaxies in the Early Universe (z>5) arXiv:2211.07540

Christopher C. Lovell, Will Roper, Aswin P. Vijayan, Louise Seeyave, Dimitrios Irodotou, Stephen M. Wilkins, Christopher J. Conselice, Flaminia Fortuni, Jussi K. Kuusisto, Emiliano Merlin, Paola Santini, Peter Thomas

Abstract: Passive galaxies are ubiquitous in the local universe, and various physical channels have been proposed that lead to this passivity. To date, robust passive galaxy candidates have been detected up to z≥5, but it is still unknown if they exist at higher redshifts, what their relative abundances are, and what causes them to stop forming stars. We present predictions from the First Light And Reionisation Epoch Simulations (FLARES), a series of zoom simulations of a range of overdensities using the EAGLE code. Passive galaxies occur naturally in the EAGLE model at high redshift, and are in good agreement with number density estimates from HST and early JWST results at 3≥z≥5. Due to the unique FLARES approach, we extend these predictions to higher redshifts, finding passive galaxy populations up to z∼8. Feedback from supermassive black holes is the main driver of passivity, leading to reduced gas fractions and star forming gas reservoirs. We find that passive galaxies at z≥5 are not identified in the typical UVJ selection space due to their still relatively young stellar populations, and present new rest--frame selection regions. We also present NIRCam and MIRI fluxes, and find that significant numbers of passive galaxies at z≥5 should be detectable in upcoming wide surveys with JWST. Finally, we present JWST colour distributions, with new selection regions in the observer--frame for identifying these early passive populations.

flares passive surface densities

Unveiling the main sequence of galaxies at z>5 with the James Webb Space Telescope: predictions from simulations arXiv:2208.06180

Jordan C. J. D'Silva, Claudia D. P. Lagos, Luke J. M. Davies, Christopher C. Lovell, Aswin P. Vijayan

Abstract: We use two independent, galaxy formation simulations, FLARES, a cosmological hydrodynamical simulation, and SHARK, a semi-analytic model, to explore how well the James Webb Space Telescope (JWST) will be able to uncover the existence and parameters of the star-forming main sequence (SFS) at z=5-10, i.e., shape, scatter, normalisation. Using two independent simulations allows us to isolate predictions (e.g., stellar mass, star formation rate, SFR, luminosity functions) that are robust to or highly dependent on the implementation of the physics of galaxy formation. Both simulations predict that JWST can observe 70-90% (for SHARK and FLARES respectively) of galaxies up to z=10 in modest integration times and given current proposed survey areas (e.g. the Web COSMOS) to accurately constrain the parameters of the SFS. Although both simulations predict qualitatively similar distributions of stellar mass and SFR, there are important quantitative differences, such as the abundance of massive, star-forming galaxies, with FLARES predicting a higher abundance than SHARK; the early onset of quenching as a result of black hole growth in FLARES (at z=8), not seen in SHARK until much lower redshifts; and the implementation of synthetic photometry, with FLARES predicting more JWST-detected galaxies (90%) than SHARK (70%) at z=10. JWST observations will distinguish between these models, leading to a significant improvement upon our understanding of the formation of the very first galaxies.

flares shark SFS

First Light And Reionisation Epoch Simulations (FLARES) VII: The Star Formation and Metal Enrichment Histories of Galaxies in the early Universe arXiv:2208.00976

Stephen M. Wilkins, Aswin P. Vijayan, Christopher C. Lovell, William J. Roper, Erik Zackrisson, Dimitrios Irodotou, Louise T. C. Seeyave, Jussi K. Kuusisto, Peter A. Thomas, Joseph Caruana, Christopher J. Conselice

Abstract: The star formation and metal enrichment histories of galaxies - at any epoch - constitute one of the key properties of galaxies, and their measurement is a core aim of observational extragalactic astronomy. The lack of deep rest-frame optical coverage at high-redshift has made robust constraints elusive, but this is now changing thanks to the \emph{James Webb Space Telescope (JWST)}. In preparation for the constraints provided by \emph{JWST} we explore the star formation and metal enrichment histories of galaxies at z=5−13 using the First Light And Reionisation Epoch Simulations (FLARES) suite. Built on the EAGLE model, the unique strategy of FLARES allows us to simulate a wide range of stellar masses (and luminosities) and environments. While we predict significant redshift evolution of average ages and specific star formation rates our core result is a mostly flat relationship of age and specific star formation rate with stellar mass. We also find that galaxies in this epoch predominantly have strongly rising star formation histories, albeit with the magnitude dropping with redshift and stellar mass. In terms of chemical enrichment we predict a strong stellar mass - metallicity relation present at z=10 and beyond alongside significant α-enhancement. Finally, we find no environmental dependence of the relationship between age, specific star formation rate, or metallicity with stellar mass.

stellar mass -- metallicity relation

First Light And Reionisation Epoch Simulations (FLARES) VI: The colour evolution of galaxies z=5−15 arXiv:2207.10920

Stephen M. Wilkins, Aswin P. Vijayan, Christopher C. Lovell, William J. Roper, Dimitrios Irodotou, Joseph Caruana, Louise T. C. Seeyave, Jussi K. Kuusisto, Peter A. Thomas

Abstract: With its exquisite sensitivity, wavelength coverage, and spatial and spectral resolution, the James Webb Space Telescope is poised to revolutionise our view of the distant, high-redshift (z>5) Universe. While Webb's spectroscopic observations will be transformative for the field, photometric observations play a key role in identifying distant objects and providing more comprehensive samples than accessible to spectroscopy alone. In addition to identifying objects, photometric observations can also be used to infer physical properties and thus be used to constrain galaxy formation models. However, inferred physical properties from broadband photometric observations, particularly in the absence of spectroscopic redshifts, often have large uncertainties. With the development of new tools for forward modelling simulations it is now routinely possible to predict observational quantities, enabling a direct comparison with observations. With this in mind, in this work, we make predictions for the colour evolution of galaxies at z=5−15 using the FLARES: First Light And Reionisation Epoch Simulations cosmological hydrodynamical simulation suite. We predict a complex evolution, driven predominantly by strong nebular line emission passing through individual bands. These predictions are in good agreement with existing constraints from Hubble and Spitzer as well as some of the first results from Webb. We also contrast our predictions with other models in the literature: while the general trends are similar we find key differences, particularly in the strength of features associated with strong nebular line emission. This suggests photometric observations alone should provide useful discriminating power between different models.

JWST filter wavelength coverage evolution with redshift

First Light And Reionisation Epoch Simulations (FLARES) V: The redshift frontier arXiv:2204.09431

Stephen M. Wilkins, Aswin P. Vijayan, Christopher C. Lovell, William J. Roper, Dimitrios Irodotou, Joseph Caruana, Louise T. C. Seeyave, Jussi K. Kuusisto, Peter A. Thomas, Shedeur A. K. Parris

Abstract: The James Webb Space Telescope (JWST) is set to transform many areas of astronomy, one of the most exciting is the expansion of the redshift frontier to z>10. In its first year alone JWST should discover hundreds of galaxies, dwarfing the handful currently known. To prepare for these powerful observational constraints, we use the First Light And Reionisation Epoch (FLARES) simulations to predict the physical and observational properties of the z>10 population of galaxies accessible to JWST. This is the first time such predictions have been made using a hydrodynamical model validated at low redshift. Our predictions at z=10 are broadly in agreement with current observational constraints on the far-UV luminosity function and UV continuum slope β, though the observational uncertainties are large. We note tension with recent constraints z∼13 from Harikane et al. 2022 - compared to these constraints, FLARES predicts objects with the same space density should have an order of magnitude lower luminosity, though this is mitigated slightly if dust attenuation is negligible in these systems. Our predictions suggest that in JWST's first cycle alone, around 600 galaxies should be identified at z>10, with the first small samples available at z>13.

Example spectra at z = 10

First Light and Reionisation Epoch Simulations (FLARES) IV: The size evolution of galaxies at z ≥ 5 arXiv:2203.12627

William J. Roper, Christopher C. Lovell, Aswin P. Vijayan, Madeline A. Marshall, Dimitrios Irodotou, Jussi K. Kuusisto, Peter A. Thomas, Stephen M. Wilkins

Abstract: We present the intrinsic and observed sizes of galaxies at z≥5 in the First Light And Reionisation Epoch Simulations (FLARES). We employ the large effective volume of FLARES to produce a sizeable sample of high redshift galaxies with intrinsic and observed luminosities and half light radii in a range of rest frame UV and visual photometric bands. This sample contains a significant number of intrinsically ultra-compact galaxies in the far-UV (1500 angstrom), leading to a negative intrinsic far-UV size-luminosity relation. However, after the inclusion of the effects of dust these same compact galaxies exhibit observed sizes that are as much as 50 times larger than those measured from the intrinsic emission, and broadly agree with a range of observational samples. This increase in size is driven by the concentration of dust in the core of galaxies, heavily attenuating the intrinsically brightest regions. At fixed luminosity we find a galaxy size redshift evolution with a slope of m=1.21−1.87 depending on the luminosity sample in question, and we demonstrate the wavelength dependence of the size-luminosity relation which will soon be probed by the Webb Space Telescope.

Gaussian-spline residual

First Light and Reionisation Epoch Simulations (FLARES) III: The properties of massive dusty galaxies at cosmic dawn arXiv:2108.00830

Aswin P. Vijayan, Stephen M. Wilkins, Christopher C. Lovell, Peter A. Thomas, Peter Camps, Maarten Baes, James Trayford, Jussi Kuusisto, William J. Roper

Abstract: Using the First Light And Reionisation Epoch Simulations (FLARES) we explore the dust driven properties of massive high-redshift galaxies at z∈[5,10]. By post-processing the galaxy sample using the radiative transfer code SKIRT we obtain the full spectral energy distribution. We explore the resultant luminosity functions, IRX-β relations as well as the luminosity-weighted dust temperatures in the Epoch of Reionisation (EoR). We find that most of our results are in agreement with the current set of observations, but under-predict the number densities of bright IR galaxies, which are extremely biased towards the most overdense regions. We see that the FLARES IRX-β relation (for 5≤z≤8) predominantly follows the local starburst relation. The IRX shows an increase with stellar mass, plateauing at the high-mass end (∼$10^10 M_⊙$) and shows no evolution in the median normalisation with redshift. We also look at the dependence of the peak dust temperature (T_peak) on various galaxy properties including the stellar mass, IR luminosity and sSFR, finding the correlation to be strongest with sSFR. The luminosity-weighted dust temperatures increase towards higher redshifts, with the slope of the T_peak - redshift relation showing a higher slope than the lower redshift relations obtained from previous observational and theoretical works. The results from FLARES, which is able to provide a better statistical sample of high-redshift galaxies compared to other simulations, provides a distinct vantage point for the high-redshift Universe.

dust_temp_evolution

First Light and Reionisation Epoch Simulations (FLARES) II: The Photometric Properties of High-Redshift Galaxies arXiv:2008.06057

Aswin P. Vijayan, Christopher C. Lovell, Stephen M. Wilkins, Peter A. Thomas, David J. Barnes, Dimitrios Irodotou, Jussi Kuusisto, Will Roper

MNRAS, 2021

Abstract: We present the photometric properties of galaxies in the First Light and Reionisation Epoch Simulations (FLARES). The simulations trace the evolution of galaxies in a range of overdensities through the Epoch of Reionistion (EoR). With a novel weighting scheme we combine these overdensities, extending significantly the dynamic range of observed composite distribution functions compared to periodic simulation boxes. FLARES predicts a significantly larger number of intrinsically bright galaxies, which can be explained through a simple model linking dust-attenuation to the metal content of the interstellar medium, using a line-of-sight (LOS) extinction model. With this model we present the photometric properties of the FLARES galaxies for z∈[5,10]. We show that the ultraviolet (UV) luminosity function (LF) matches the observations at all redshifts. The function is fit by Schechter and double power-law forms, with the latter being favoured at these redshifts by the FLARES composite UV LF. We also present predictions for the UV continuum slope as well as the attenuation in the UV. The impact of environment on the UV LF is also explored, with the brightest galaxies forming in the densest environments. We then present the line luminosity and equivalent widths of some prominent nebular emission lines arising from the galaxies, finding rough agreement with available observations. We also look at the relative contribution of obscured and unobscured star formation, finding comparable contributions at these redshifts.

sph_ray

First Light and Reionisation Epoch Simulations (FLARES) I: Environmental Dependence of High-Redshift Galaxy Evolution arXiv:2004.07283

Christopher Lovell, Aswin P. Vijayan, Peter A. Thomas, Stephen M. Wilkins, Dimitrios Irodotou, Will Roper

MNRAS, 500, 2, 2021

Abstract: We introduce the First Light and Reionisation Epoch Simulations (FLARES), a suite of zoom simulations using the Eagle model. We re-simulate a range of overdensities during the Epoch of Reionisation (EoR) in order to build composite distribution functions, as well as explore the environmental dependence of galaxy formation and evolution during this critical period of galaxy assembly. The regions are selected from a large (3.2 cGpc)3 parent volume, based on their overdensity within a sphere of radius 14 cMpc/h. We then re-simulate with full hydrodynamics, and employ a novel weighting scheme that allows the construction of composite distribution functions that are representative of the full parent volume. This significantly extends the dynamic range compared to smaller volume periodic simulations. We present an analysis of the galaxy stellar mass function, the star formation rate distribution function and the star forming sequence predicted by \flares, and compare to a number of observational and model constraints. We also analyse the environmental dependence over an unprecedented range of overdensity. This increased dynamic range will allow us to make predictions for a number of large area surveys that will probe the EoR in coming years, such as WFIRST and Euclid.

parent_box

Acknowledgement & Citation

We kindly ask that if you use FLARES or refer to it in publications, that you cite both introductory papers, Lovell et al. 2021 and Vijayan et al. 2021, as well as any more specific papers relevant to the work.

The following bibtex entry contains the two intro papers:


@article{10.1093/mnras/staa3360,
    author = {Lovell, Christopher C and Vijayan, Aswin P and Thomas, Peter A and Wilkins, Stephen M 
			  and Barnes, David J and Irodotou, Dimitrios and Roper, Will},
    title = "{First Light And Reionization Epoch Simulations (FLARES) – I. 
			  Environmental dependence of high-redshift galaxy evolution}",
    journal = {Monthly Notices of the Royal Astronomical Society},
    volume = {500},
    number = {2},
    pages = {2127-2145},
    year = {2020},
    month = {10},
    issn = {0035-8711},
    doi = {10.1093/mnras/staa3360},
    url = {https://doi.org/10.1093/mnras/staa3360},
    eprint = {https://academic.oup.com/mnras/article-pdf/500/2/2127/34475420/staa3360.pdf},
}

@article{10.1093/mnras/staa3715,
    author = {Vijayan, Aswin P and Lovell, Christopher C and Wilkins, Stephen M and Thomas, Peter A 
              and Barnes, David J and Irodotou, Dimitrios and Kuusisto, Jussi and Roper, William J},
    title = "{First Light And Reionization Epoch Simulations (FLARES) -- II: 
			  The photometric properties of high-redshift galaxies}",
    journal = {Monthly Notices of the Royal Astronomical Society},
    volume = {501},
    number = {3},
    pages = {3289-3308},
    year = {2020},
    month = {11},
    issn = {0035-8711},
    doi = {10.1093/mnras/staa3715},
    url = {https://doi.org/10.1093/mnras/staa3715},
    eprint = {https://academic.oup.com/mnras/article-pdf/501/3/3289/35651856/staa3715.pdf},
}
		

Data

Our codes are publicly available at github.com/flaresimulations. Please raise any issues or support requests there. If you require any data not detailed below please get in touch with one of the team members below.

Paper I

We provide stellar masses and (instantaneous) star formation rates for all galaxies in FLARES from $z = 5-10$ here in HDF5 format. Utilities for reading the data are available at github.com/flaresimulations.

Fits to the galaxy stellar mass function, star formation rate distribution function and star forming sequence are available at the links below. We also provide the full posterior chains obtained from fitDF.

Fits: available here

Chains: available here

Paper II

We provide stellar masses (within 30pkpc), star formation rates (averaged over star particles formed in the last 10, 30, 50, 100 and 200 Myr), the luminosity (dust attenuated and intrinsic), fluxes (Euclid, HST, JWST, Spitzer, Subaru), and the line luminosity and equivalent widths (for nebular lines) for all galaxies in FLARES from $z = 5-10$ here in HDF5 format. Utilities for reading the data are available at github.com/flaresimulations and the code to produce the plots in the paper can be found in github.com/flaresimulations/flares_photometry.

Visualisation

region
region
region
region